
Alternatif akımın endüstride kullanımının yaygınlaşması neticesinde aktif güç yanısıra reaktif güç kavramında ortaya çıkmıştır. Endüksiyon prensibi ile çalışan alıcılar için manyetik alan ve bu alanın oluşumu için reaktif güç gereklidir. Omik alıcılar faz gerilimi ile aynı fazda olan aktif akımı çekerler iken endüktif alıcılar aktif akımın yanısıra, manyetik alanların oluşması için faz geriliminden 90° geri fazda reaktif akım çekerler.
Kompanzasyon, akım ile gerilim arasındaki faz farkının en ideal olabilecek açıya getirilerek, sistemi olumsuz etkileyen reaktif güçlerin sıfıra yaklaştırılması olayıdır. Yani güç faktörü cosϕ düzeltilir. Böylece enerji iletim hatlarının ve şebekenin gereksiz yere yüklenmesine sebep olan ve kayıpları artıran reaktif güç, olabildiğince minimum seviyede tutulur.

Reaktif Güç Kompanzasyonu:
Reaktif gücü dengeleme ve akım ile gerilim arasında oluşan faz farkını olabildiğince azaltma işlemine reaktif güç kompanzasyonu denir. Eğer reaktif güç kompanzasyonu yapılmazsa, şebekede kayıplar oluşur. İletim hatları ve kablolar daha fazla akım çeker ve bu yüzden büyük gerilim düşümleri meydana gelir. Hatlarda gerilim düşümlerinin meydana gelmesi, enerji taşıma kapasitesini düşürür. Sonuç olarak kompanzasyon sayesinde daha kaliteli, daha ucuz ve daha verimli bir enerji kullanırız.
Reaktif güç kompanzasyonu, kompanzasyon kondansatörleri ile yapılır. Bir reaktif güç rölesine istenilen düzeyde yapılması gereken güç faktörü vs. ayarlar girilir. Reaktif güç rölesi, sistemi sürekli izleyerek reaktif gücün durumuna göre kondansatör banklarından kondansatör gruplarını devreye alıp çıkararak reaktif güç kompanzasyon işlemini gerçekleştirir. Ayrıca bazen de senkron motorlar sayesinde de reaktif güç kompanzasyonu yapılabilmektedir.


Şekil Güç Üçgeni Üzerinden Aktif, Reaktif ve Görünür Güç Hesabı:
Endüktif ve kapasitif yüklerde içinden geçen akım veya uygulanan gerilimler arasında 90 derecelik faz farkı vardır. Kapasitif akım geriliminden 90 derece ileride, endüktif akım geriliminden 90 derece geridedir. Omik devrelerde akım ve gerilim aynı fazdadır. Elektrik tesisleri omik-endüktif özellikte olduğundan çektikleri akımı, çok uzun mesafelerdeki enerji nakil hatlarını etkiler. Tesislerin çektikleri güç değerleri ve buna bağlı güç katsayıları (P, cos(θ)) bellidir.
Aktif gücün yanında reaktif güçte çekerler. Elektrik dağıtım sistemlerinin boyutlandırılmasında kullanılan büyüklük, toplam gücü ifade eden görünür güçtür. Tesisin çektiği akım hatlarda belli bir ısı kaybına (Phat=I2hat.Rhat) sebep olur ve gerilim düşümü meydana gelir. Bu da kaynağın (santral) ürettiği gücün bir kısmının hatlarda kaybolması ve yük uçlarına gelen gerilimin düşmesi anlamına gelir.
Kaynak gerilimi sabit alındığında, görünür güç akımla doğru orantılı olarak değişir. Buna göre belli bir aktif güç büyüklüğü için, görünür güç değerinin büyümesi çekilen akım değerinin artacağından hatlarda ki kayıplarda artacaktır. Böylece enerji iletmek için kullanılacak iletkenlerin kesitleri, sigorta-kesici-ayırıcı gibi elemanların değerleri, boyutları dolayısıylada maliyetleri artacaktır. Sonuç olarak santral ve hatlar gereksiz yere yüklenmiş olacaktır.
Sistemin güç katsayısının cos(θ) yükselmesi ile güç üçgeninde S değerinin küçülmesi ve çekilen akımın azalması sağlanır. Bu durumdan yola çıkan TEİAŞ hatların gereksiz yere fazla yüklenmemesi için elektrik tesislerinde kompanzasyonu zorunlu tutmaktadır. Özellikle endüstriyel tesisler aktif gücün yanında reaktif güç içinde ayrı bir ücret öderler. Kompanzasyonu yapılmış bir tesiste toplam reaktif güç azalacağı için ödenecek fatura da azalacaktır.
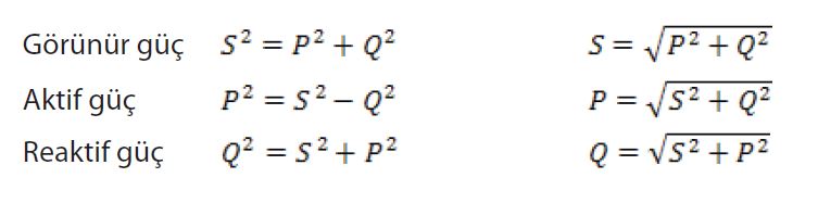
Reaktif Güç:
Rektif güç, endüktif yüklü devrelerde, manyetik devrenin uyartımı için çekilip bir sonraki döngüde geri iade edilen güçtür. “Q” harfi ile gösterilir. Bu güç, endüktif yük üzerinde harcanmaz. Sadece depo edilir ve tekrar kaynağa gönderilir. Dolayısıyla, kaynakla endüktif yük arasında sürekli olarak reaktif güç alışverişi yapılır. Son kullanıcı ve sanayi bazında talep arttıkça reaktif yüklerde çok hızlı bir şekilde artmaya başlamıştır. Bu yüklerin büyük çoğunluğu omik-endüktif özelliktedir.

Reaktif Güç Talep Eden Sistemler:
► Düşük ikazlı senkron makinalar
► Asenkron motorlar
► Senkron motorlar
► Bobinler
► Transformatörler
► Redresörler
► Endüksiyon fırınları, ark fırınları
► Kaynak makinaları
► Havai hatlar
► Fluoresan lamba balastları
► Sodyum ve cıva buharlı lamba balastları
► Neon lamba balastları vs.
İndüksiyon prensibi ile çalışan bu makinalarda, özellikle elektrik motorlarında, manyetik alanların oluşması için reaktif güç gereklidir. Endüktif güç, ideal bir bobine ait akım ve gerilimin etkin değerlerinin çarpımına denir. Reaktif güç değeri, aktif güçten farklı olarak enerji kaybını ifade etmez. Bobinde depolanan ve tekrar devreye geri verilen enerji ile ilgili büyüklüktür. Birimi “VAr”dır.

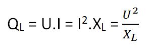
Kapasitif güç, ideal bir kondansatöre ait akım ve geriliminetkin değerlerinin çarpımına eşittir. Birimi “VAr” dir.

Aktif Güç:
Aktif güç, elektrikte iş yapan, rezistif yüklerin harcadığı güçtür. Yani “kullanılabilir güçtür”. Birimi “Watt”'tır. P ile sembolize edilir.

Görünür Güç:
Görünür güç, bir alternatif akım devresinde, kaynak gerilimi ile toplam akımının etkin değerlerinin çarpımına denir. Elektrik ile çalışan sistemlerin şebekeden çektikleri güç aktif ve reaktif güç olmak üzere ikiye ayrıldığını söylemiştik. Görünür güçte aktif ve reaktif güçlerin karelerinin toplamının karekökü ile de bulunabilir. Birimi "VA"dır. S ile sembolize edilir.

Güç Katsayısı (cosθ), kaynak gerilmi ile toplam devre akımı arasındaki faz farkının cosinüsüne denir.
Güç Üçgeni Nedir ?
Bir devreye ait aktif, reaktif ve görünür güçler arasındaki bağıntılar empedans kavramında olduğu gibi bir dik üçgen yardımı ile bulunabilir.
KONDANSATÖRLERİN TERMAL KAMERA İLE KONTROL VE BAKIM:
Kondansatörleri kontrol etmek için en güvenili araç termal kameradır. Kondansatör bankı termal kamera ile test edilmeden 1 saat önce enerjilendirilmelidir. Testte bağlantı noktaları kontrol edilmeli ve soğutma ekipmanlarının düzgün çalışıp çalışmadığı kontrol edilmelidir. Sistemdeki güce göre bağlantı kabloları ve bağlantı noktalarındaki gevşeklikler incelenmelidir.
Birbirine iyi temas etmemiş, gevek bağlantılarda direnç yüksek olacağı için bu noktada sıcaklık artışı olur ve termal kamerada bu nokta tespit edilecektir. Kondansatör bankının tamamı ile birlikte kondansatörler ayrı ayrı da kontrol edilmeli ve kondansatörler arası sıcaklık farkının yüksek olmamasına dikkat edilmelidir. Kondansatörlerin bir tanesi arızalıdır ancak dış yapılarında herhangi bir arıza belirtisi yoktur.
Arızalı kondansatör ancak termal kamera ile belirlenebilir. Test sırasında devrede olmayan bir kondansatör kamerada soğuk olarak gözlenecektir. Ayrıca kondansatörlerin üst kısımları, konveksiyon yolu ile daha sıcak gözükebilir, bu durum arıza ile karıştırılmamalıdır. Bu tür durumların dışında, tüm bağlantıların da doğru olduğu test edilmişse, gözlenen bi sıcaklık farkı arızalı bir durumu işaret eder.
AKIM ÖLÇÜMLERİ:
Koruyucu bakım işleminin bir parçası olarak her üç fazdan geçen akım da ölçülmeli ve kayıt edilmelidir. Ölçülen akım ile gerçek değer arasında bir çevirme işlemi yapılmalıdır. Örneğin akım trafosu 3000/5 A ve ölçülen değer 2 A ise (3000 / 5) x 2 işlemi sonucu 1200 A değeri bulunur. Elde edilen değerler kayıt altına alınmalı ve önceki okumalar için karşılatırma yapılarak değerlerde normal olmayan farklar ve sapmalar belirlenmelidir.
GÜÇ FAKTÖRÜ ÖLÇÜMLERİ:
Güç faktörü ölçümü, gerili, akım ve gücün en az 1 saniyelik periyotlarlar ölçümünü gerektirir. Dijital bir multimetre bu ölçümleri gerçekleştirmek için yeterli performansı gösteremez ancak ancak bür güç analizörü bu işlemi gereken zamanda yapabilir. Aylık güç faktörü ortalamısını görebilmek için kayıt cihazı kullanılabilir böylece tesisisn aylık zamanda kullandığı güç parametreleri daha sağlıklı olarak gözlenebilir.
KAPASİTANS ÖLÇÜMÜ:
Kondansatör bankının kapasitansını ölçmek için kondansatörlerin enerjisi kesilir ve üretici firmanın servis bülteninde belirtile süre kadar beklenir. Ölçüme başlamadan önce kondansatörlerde gerilim olmadığından emin olmak gerekir. Bunun için öncelikle faz-faz ve faz-nötr arası bağlantılar ölçülür. Gerilim olmadığından emin olduktan sonra kondansatör kapasitansı, üreticinin belirttiği değerlere göre ölçülür ve karşılaştırılır. Kompanzasyon kondansatörleri uzun yıllar hizmet vermek üzere üretilirler ancak bunu sağlamak için gerekli bakım prosedürlerinin tam olarak yerine getirilmesi gerekmektedir.





















